
фото: илустрација
Светска фармацеутска мафија Србију одавно третира као земљу „Трећег света“, па се према њој тако и односи продајући нам нетестиране и опасне лекове који се преписују само захваљујући томе што су подмићени поједини политичари и лекари. Оно што је најгоре, јесте чињеница да ми своје убице плаћамо из сопственог џепа, јер од њих купујемо непотребне и превелике количине лекова, а они од те зараде плаћају мито. Најактуелнији је случај са дечјим вакцинама које по закону морају да се обавезно дају, а за чије увођење су плаћени милиони евра мита.

Милан Маленовић
фото: mc.rs
GlaxoSmithKline (GSK) из Велике Британије је једна од највећих светских фармацеутских компанија чије криминално деловање превазилази њено стварно учешће на тржишту. Кинеске власти су 2013. године, објавиле како је GSK потрошио 3,8 милијарди хонг-конгшких долара на поклоне и различите услуге (између осталих и сексуалне) дате разним званичницима и лекарима, како би пацијентима преписивали лекове овог произвођача!
Следеће године је компанија правноснажно осуђена у Кини да плати казну од 490 милиона долара због давања мита. Неки од подмићених функционера и лекара су добили смртну казну која, на жалост, не постоји у српском Кривичном законику.
Пре тога је GSK у Сједињеним Америчким Државама 2012. године, прихватио судску нагодбу и, после признавања кривице, пристао да плати укупно три милијарди долара, од чега су две милијарде биле одштета за пацијенте. Компанија је, између осталог, била осуђена због декларације по којој су непроверени лекови могли да буду преписивани малолетним особама.
Све ово је важно да се зна како би се лакше разумело пословање GlaxoSmithKline (GSK)-а у Србији где се, такође, непроверени и неодобрени лекови издају пацијентима и то о трошку Републичког фонда за здравствено осигурање, а што све омогућују подмићени лекари и званичници. Најгоре је то што новац за подмићивање солидарно дају сви грађани ове опљачкане државе, па тако испада да финансијски награђују своје убице.
Списак оних које GSK подмићује у Србији је подугачак: од некадашњег министра Томице Милосављевића, преко Славице Ђукић Дејановић (која је била и председница скупштинског Одбора за здравство и истовремено примала плату од GSK-а за „консултативне услуге“), па све до читавог низа лекара, професора медицине и медицинских установа.
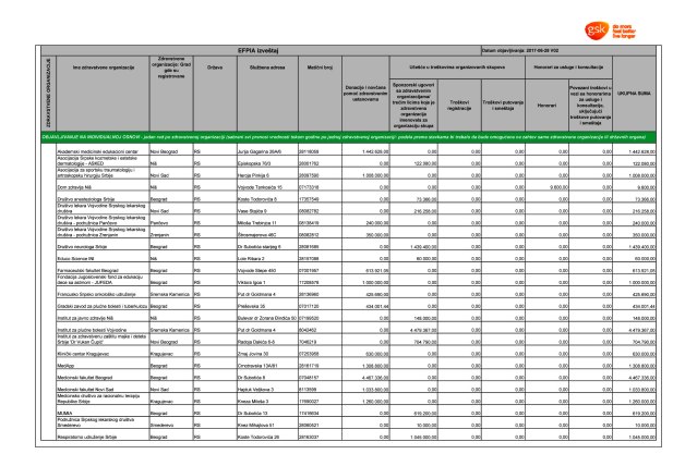
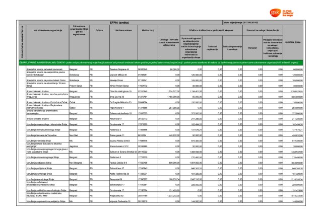
Редакција Магазина Таблоид је дошла у посед званичног финансијског извештаја GSK Србија за 2015. годину из кога се види колико је пара дато за промовисање смртоносних и непроверених лекова (на првом месту вакцина) које ова компанија производи и не може нигде другде да прода, осим у земљама такозваног Трећег света у које је, на жалост, сврстана и Србија. Чак су и неке афричке државе одбиле да им наша земља у виду „хуманитарне помоћи“ поклони вакцине против свињског грипа које је РФЗО масовно куповао на притисак лобиста. Није без значаја ни чињеница да је поменута вакцина патентирана неколико месеци пре него што је вирус свињског грипа био изолован?!?

Страна 1

Страна 2

Страна 3

Страна 4
Страна 5
Читајући поменути финансијски извештај одмах упада у очи да је он састављен и објављен 28. јуна 2017. године, а односи се на пословање из 2015. Који су разлози због којих је његова израда трајала више од годину и по дана?
Поменуте године је GSK у различите сврхе медицинским радницима и установама у Србији платио 124.841.680,18 динара, од чега је 80.892.696,25 динара дато за „истраживање и развој“, док су остало донације.
У делу који обухвата појединце приметно је да су поред сваког имена попуњене само две рубрике: хонорари и „повезани трошкови у вези са хонорарима“, што је шифра за плаћање у готовини, на руке, или за накнаде специјалних услуга. Ни за једног од поменутих лекара или професора нису плаћени никакви трошкови учешћа на семинарима или стручним скуповима, што значи да они на истима нису ни учествовали. Све је, очигледно, одрађено по „Кинеском моделу“.
Чак ни поменутих 124 милиона динара трошкова GSK није платио из свог џепа, већ на терет Републичког фонда здравственог осигурања.
По извештају за 2015. годину (који је већ уклоњен са интернета, али је редакцији достављен од једног инсајдера) РФЗО је те године за вакцине типа Ј (између осталог и за оне против тетануса) GSK-у платио укупно 11.952.384.664,60 динара, односно стотину пута више него што је ова британска фармацеутска компанија уложила у подмићивање српских здравствених радника и професора!?! А ово је само врх леденог брега.

Колико је метода куповине стручњака делотворна, види се одлично на примеру др Предрага Кона, данас једног од најгласнијих заговарача коришћења производа GSK-а. Др Кон није целог живота веровао у „исцелитељске“моћи различитих вакцина, напротив. У часопису „Магично биље“ од 24. новембра 2009. изашао је његов чланак под насловом „Изненадио сам се! Хомеопатија ме је излечила“ у коме велича делотворност лековитог биља, истовремено исказујући велику резерву према вештачки направљеним лековима, посебно вакцинама.
У то време је, међутим, овај модерни Савле већ започео своје преображавање у Павла и све чешће и гласније почео да рекламира продукте GSK-а, који са природом немају никакве везе. Могуће је и да је поменути чланак био само покушај др Кона да опере своју биографију, јер је исте те 2009. године био саслушаван од стране СБПОК-а у вези спорног увоза вакцина против свињског грипа. По наводима инспектора који су га саслушавали, он је био изузетно кооперативан, доставивши полицији три вреће документације и сатима објашњавајући ко је у овој великој пљачки РФЗО-а имао коју улогу. Истрага је, подсетимо, обустављена када су иследници закључили како на врху пљачкашке пирамиде стоји тадашњи председник Републике Србије, Борис Тадић. После тога, Кон се у очајању дефинитивно приклонио фармацеутској мафији.
Иако предвиђање кретања заразних болести др Кону није јача страна, није се либио да као „противепидемијске мере“ користи претње колегама одузимањем хлеба, тако да 5.1.2010. са страница „Прес магазина“ кличе да „лекари који су против вакцине не заслужују да раде!“, док 2.8.2017. са страница „Телеграфа“ позива на морално-етичку одговорност професора педијатрије др Несторовића због става о праву родитеља на слободан избор.
У то време је др Кон већ био чврсто у загрљају фармацеутске мафије, јер је постао миљеник и ударна песница њеног новог гуруа, др Зорана Радовановића, председника етичког одбора Српског лекарског друштва. Др Радовановић је једна енигматична, скоро опскурна личност, будући да постоји неколико званичних верзија његове биографије које су доступне јавности.
Издавачка кућа „Архипелаг“ у биографији аутора књиге коју је објавила, наводи да је др Радовановић био редовни професор Медицинског факултета у Београду до 2000. године, али га се нико од студената из тог периода не сећа. Са друге стране, на „Линкендин“-у он сам наводи да је професор на поменутом факултету био само у периоду од 1967. до 1988. године, а да је поменуте 2000. био професор на Медицинском факултету у Кувајту.
Занимљиво је и да на „Линкендин“-у стоји како је Медицински факултет у Београду завршио 1965. године, што би значило да је у року од само две године и докторирао и постао редовни професор, што је немогуће.
Од 2010. до 2016. године, др Радовановић предводи „Лигу за имунизацију“, организацију о којој је немогуће наћи јавно доступне податке, мада се на интернету налази „League for Immunization – Company“, сугеришући тако да се овде ради о приватном предузећу, а не о невладиној организацији.
Иако се још 2007. пензионисао у Кувајту, др Радовановић 2010. долази у Србију како би на месту главног представника светске фармацеутске мафије заменио др Кона, који се тешко искомпромитовао слабим држањем пред СБПОК-ом и спремношћу да сарађује са иследницима. При томе је др Кон имао и невероватну срећу, јер фармацеутска мафија без устезања убија „покајнике“, па су, примера ради, само у последње две године убијене или на неразјашњен начин умрле 62 особе које су или аргументовано и стручно водиле кампању против вакцинације деце новом вакцином или су и сами били чланови тимова који су исту пронашли и израдили, а чија је лојалност била доведена у питање.
Своју финансијску повезаност са GSK-ом др Радовановић је неко време покушавао да сакрије, али је у једном новинском чланку признао како ова компанија плаћа одржавање његовог сајта на коме велича наводну успешност њихових вакцина.
Повезаност др Радовановића са америчким обавештајним и војним структурама никада није била довођена у питање, јер је он за време Првог заливског рата напустио Кувајт и уточиште нашао у једној америчкој војној бази у Саудијској Арабији, а после рата је за рачун америчких војних снага и кувајтских власти вршио истраживања последица претпостављеног напада биолошким оружјем од стране ирачких снага.
Др Радовановић једно време у Србији делује као појединац, а затим одлучује да свој рад институционализује, па поред „Лиге за имунизацију“ оснива и удружење „Доктори против корупције“, иако су његови ментори у целом свету познати и осуђивани управо због давања мита.
Користећи везе које је остварио још др Кон у дневном листу „Данас“, али и оне које је преко РФЗО-а остварио са листом „Блиц“, др Радовановић креће у невиђену хајку на све оне који су се као стручњаци успротивили тада само планираној, а данас оствареној законској обавези вакцинисања деце.
Др Радовановић у својим „полемикама“ уопште није на научно утемељен начин побијао ставове опонената, већ је исте вређао нападајући, без основа, њихову личност, или исмевајући на неакадемски начин и без икаквог образложења њихове тврдње.
Тако за др Слађану Велков, свог главног опонента, тврди да има сумњиву стручну репутацију, иако је она међународно признати стручњак. Др Тодора Јовановића назива незналицом и обичним зубаром, иако се ради о проналазачу „Todoxin“-а, средства чија се делотворност у лечењу АИДС-а успешно доказује у многим светским клиникама и лабораторијама. Иначе, после својих наступа против обавезне вакцинације деце, др Јовановићу је држава скоро потпуно срушила погон за производњу поменутог лека и одузела земљиште које је за те сврхе купио.
Др Споменку Мујовић, која је имала умерен став према вакцинама на једној конференцији, назива „јогином и поборницом здравог живота“, за коју наводи да је , између осталог, „угрозила своје звање и углед констатацијама да је рак психосоматског порекла“. Марк Гајер, амерички истаживач који је указао на везу тиомерсала и аутизма описан је као неко кога су“ стручњаци исмевали“, који „параноидно верује у бесплатне вакцине“ и који се није бактао истраживањем, већ је до резултата долазио „размишљањем“.
Татјана Обуканич, имунолог, због свог става о необавезној вакцинацији и издате књиге „Вакцинална илузија“, у којој је, наводно, „све толико погрешно да се поставља питање њених мотива“, описује се као „просветљена након што се породила“, а њене изјаве су „огољени пример расне хигијене“ и „позив на рушење свих вредности у друштву“.
Петру Ивановском, дечјем хематологу и професору педијатрије, наводно „…ласка пажња јавности која се стиче запаљивим изјавама“ – клевеће Радовановић овог веома пристојног и угледног лекара. Иако је требао да у Лондонској лабораторији истражује тезу по којој је ди-те.пер вакцина тригер дечје лимфобластне леукемије , Радовановић закључује о овом стручњаку да су „научни конгреси некада праћени бизарним изјавама и поступцима“, уз даље описе о „недостатку самоувида и неутемељеном осећају самовеличине“. Бранимир Несторовић, дечји пулмолог и професор педијатрије , оптужен је за „јеретичке мисли“ које му Радовановић опрашта због „породичних разлога“.
Када је „Инсајдер“ почео емитовање свог серијала о повезаности фармацеутске мафије и српских власти на послу увоза вакцина против свињског грипа, др Радовановић је емитеру, телевизији Б92, запретио објављивањем тајних докумената о правим финансијерима како поменуте емисије тако и саме телевизије.
Други противници фармацеутске мафије у то време су били изложени класичном терору. Један од педијатара у дечијој болници у Тиршовој улици у Београду (чије име из разумљивих разлога не помињемо) раније је својим сарадницима препоручивао опрез приликом ординирања вакцина чија својства нису до краја научно утврђена. У једном недавном разговору са својом колегиницом, иначе психијатром, тврдио је како дете мора да буде вакцинисано. У његовом гласу био је за једног психијатра лако приметан страх.
Слободни новинар-истраживач Д. В. (пуно име познато редакцији), који већ дуже времена истражује како су фармацеутске куће у Србији стекле толики утицај на актуелну власт, добио је језиво упозорење да престане са својим радом: његов петнаестогодишњи син је прегажен на пешачком прелазу (на срећу је преживео). Претходно су му нуђене паре да прекине истраживање, али је он ту понуду одбио.
На овај начин су главни противници или ућуткани или маргинализовани, па је GSK могао да приступи финализацији своје навјвеће и најсмртоносније пљачке српског буџета – законом о обавезној вакцинацији деце изгласаним у Скупштини 2016. године.
О аналогној примени искустава из других земаља у којима се користе спорне дечје вакцине немогуће је и говорити, будући да ни Агенција за лекове и медицинска средства (АЛИМС) не располаже подацима о састојцима вакцине, па је немогуће утврдити да ли је она истоветна оној која се даје у западним земљама (где вакцинација није обавезна) или је сличнија онима које се дају у источно-европским државама (где је вакцинација обавезна). Пошто састав вакцине није познат, АЛИМС није ни могао регуларним путем да изда дозволу за њено коришћење, али се она користи и то принудно, као у амбуланти др Јозефа Менгелеа.
Како, као што смо видели, само GlaxoSmithKline (а то је тек једна од великих светских фармацеутских компанија које делују у Србији) на „донације“ и хонораре за „истраживања и развој“ годишње у Србију инвестира милион евра добијених из нашег буџета, не треба уопште да чуди што се велики део стручне јавности и највећи број политичара залажу за примену непроверених и потенционално штетних лекова. Законска решења су таква да родитељ који одбије да вакцинише своје дете кривично одговара, док су, са друге стране, и држава и произвођачи вакцина ослобођени сваке одговорности за штету коју она може да проузрокује.
Истовремено када држава прогони сопствене грађане који одбијају да своју децу изложе ризику добијања непроверене вакцине, главни носиоци заразних болести, мигранти, ослобођени су обавезног вакцинисања. Поборници теорија завере у овоме виде спровођење Куденхоф – Калергијевог плана из двадесетих година прошлог века о депопулизацији Европе, коју затим треба да населе избеглице из Африке и Азије. Србија је, као и увек, прва на удару.
Ко је за рачун „Новартис“-а (Novartis International AG) подмићивао српске политичаре?
Др Предраг Кон је, двоумећи се између поборника вакцине и заговорника лечења природним лековима, у прошлости преко чланака чије је објављивање финансирао GlaxoSmithKline износио низ нетачности у погледу неопходности и успешности вакцина.
Тако је др Кон 24.7.2009. године измислио вест, коју је објавио Танјуг, да ће од свињског грипа у Србији оболети до 2.500.000 људи, а да ће због истог број хоспитализација бити до 200.000. У реалности је те године било оболело 117.958 људи од идентификованих и неидентификованих врста „грипова“ укупно , док је 25.051 болесник био лечен у болничким условима од свих заразних болести укупно. (Здравствено-статистички годишњак за 2009., стр.240 и стр.222)
У дневној новини „Курир“ 5.11.2013. године освануо је наслов: „…Алармантно: Србију напада дечја парализа, 40 одсто деце није вакцинисано“. Саговорник је био др Предраг Кон, који је навео да је вакцинисаност у београдским општинама 60 одсто, док је у унутрашњости вероватно гора ситуација. У реалности је те године обухват вакцинацијом за ту болест био 97 одсто.
У дневној новини „Блиц“ 2.2.2014.године, у тексту „Вакцине су искорениле многе болести, а противници све гласнији“, др Кон тврди да су „искорењени дифтерија и тетанус“ . У реалности је у периоду од 2011.-2015. у Србији умрло деветоро људи од тетануса (Здравствено-статистички годишњак за 2011., 2012., 2013., 2014., 2015.)
У дневној новини „Блиц“ 17.03.2017. освануо је наслов „Вакцине спречиле румунски сценарио у Србији“ са појашњењем да је степен вакцинисаности у Србији висок“., док нам у истом листу већ 3.8.2017. поручује: „Прете епидемије смртоносних богиња“, уз констатацију да трећина деце у Београду није примила ММР вакцину. Од високог обухвата и спасења до (само)уништења протекло је мање од пет месеци…
Др Кон отворено признаје како безререзервно верује др Зорану Радовановићу, захваљујући коме је, највероватније, избегао судбину многих других који су због гриже савести одлучили да открију праву истину о вакцинама.
И др Кон и др Радовановић, као и остали поборници продаје неиспитаних вакцина радо су виђени гости на многим трибинама и свечаностима које финансирају велике фармацеутске куће, али и невладине организације, посебно оне из Сорошевог јата које истовремено заговарају и примену ГМО хране.
Веза између фармацеутских гиганата и произвођача генетски модификоване хране видела се отворено када је немачки произвођач лекова „Bayer AG“ купио већински пакет акција „Monsanto„-а, али она постоји далеко дуже.
Исто тако су у свом деловању тесно повезане и различите фармацеутске компаније, што се јасно види на примеру самог др Кона. Он је прво за рачун „Novartis“-а подмићивао српске званичнике да наруче 3,5 милиона вакцина против свињског грипа (које су плаћене три пута више, јер су се у цену уградили разни посредници), а затим је почео да лобира за препарате GSK-а.
„Пратећи трошкови“ и исплате „на руке“
GlaxoSmithKline (GSK) појединце и институције финансијски стимулише да помажу продају његових производа. Висина суме која се даје директно зависи од аквизиторских могућности примаоца. Као што се видело у афери која се завршила осуђујућом пресудом у Кини (такозвани „Кинески модел“), GSK не подмићује увек давањем пара, већ и различитих поклона, али и плаћањем проститутки и сличних услуга. Све то се, међутим, обрачунава у реалном новцу и приказује у годишњим финансијским извештајима. Трошкови посебних поклона или услуга увек се наводе као „пратећи трошкови“, али се тако књиже и исплате на руке.
… цео текст прочитајте на ИЗВОРУ – МАГАЗИН ТАБЛОИД број 399
аутор текста Милан Маленовић
***
ПОВЕЗАНО:
Биљана Ђоровић: Вакцинациони рулет – наука, профит, моћ
Фармацеутска индустрија упала је у стање неописиве панике због тога што све већи број људи у свету одбија да се вакцинише. Истина излази на видело, Биг Фарма (Big Pharma) фалсификује научне податке; здравствене организације одбијају да заштите јавност потискујући и прикривајући истину о штетности и неефикасности вакцина док владе настоје да приморају на вакцинисање сваког грађанина – упркос доказима о застрашујућим опасностима којима се популација излаже.
—————–
6.10.2017. за СРБски ФБРепортер приредила Биљана Диковић















Svi znamo da su lekari ,naravno ne svi, podmitljivi da od fasrmaceutskih kompanija su placeni da reklamiraju i prodaju njihove lekove.Medjutim farmaceutska mafija je zamenila po profitu naftnu mafiju, te sada imamo slucaj da apoteke nicu kao pecurke oko kise.Secam se pedesetih godina proslofg veka u V.Plani je bilo sxamo jedne apoteke, jedan lekar, sada ima preko 10 apoteka i puno lekara. Postali smo bolesna nacija, jer ubise nas lakovima.Mnogi casni lekari nesvesno se stavili u sluzbu farmaceutske mafije, neznajuci da su mnogi lekovi fiktivni i ne lece vec ubijaju.Ako pacijent kaze lekaru procitao sam da taj lek ne smem da pijem zbog nekog lproblema, lekar kaze ma pij i ne citaj sta kaze upustvo.Lexium se moze koristiti najvise 8 nedelja, a lekari ga prfepisuju istom pacijentu godinama.Postoji jedna prica Farmaceut prodaje lekove da bi ziveo,lekar prepisuje da bi ziveo a bolesnik nebi trebalo da pje lek da bi ziveo.
Свиђа ми сеСвиђа ми се
Да смо нека нормална земља тај др Кон би одавно био ухапшен као и многи други промотери лекова и вакцина без познатог садржаја.
Свиђа ми сеСвиђа ми се